IX Taller Internacional “La Educación Médica: Retos y Perspectivas”. "MED" -IX Taller Internacional “La Educación Médica: Retos y Perspectivas”.

Simposio Formación de profesionales competentes desde una perspectiva inclusiva y equitativa, por un desarrollo sostenible.

MED

IX Taller Internacional “La Educación Médica: Retos y Perspectivas”.

DISTANCE EDUCATION: IMPLEMENTATION IN THE CONMPREHENSIVE GENERAL MEDICINE SUBJECT
DISTANCE EDUCATION: IMPLEMENTATION IN THE CONMPREHENSIVE GENERAL MEDICINE SUBJECT

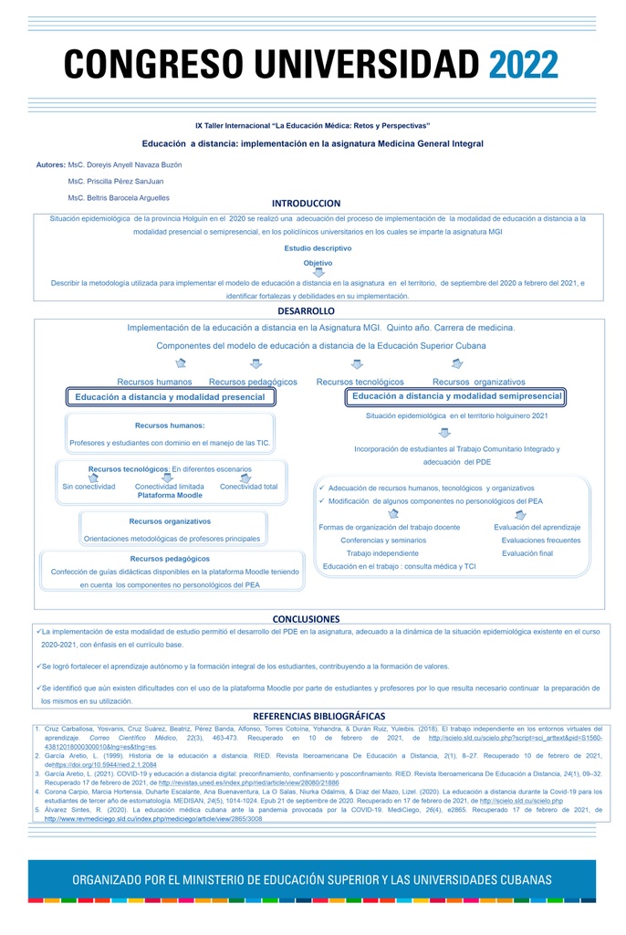
Traditionally, the teaching of Health Sciences in Cuba has been developed on

presence modality, but the paradigm shift in its teaching leads to the development of an

educational teaching process centered on the student, with distance learning being one

of the study modalities. An investigation was carried out with the objective of describing

the methodology used to implement the distance learning model in students, who were

studying the subject Comprehensive General Medicine belong to the fifth year at the

polyclinics of the Holguin province from September 2020 to February 2021. The

implementation of this study modality began as an alternative for the preparation of

students in their training process, taking into account the human, pedagogical,

technological and organizational resources. Initially, the Moodle platform was used as a

virtual learning environment. In the presence of COVID-19, in January 2021the

educational teaching process was reorganized, it was decided to change to the

semipresence modality and maintain distance learning with the necessary adjustments

for each scenario, considering the need to incorporate students to integrated community

work, according to the needs of the territory where they reside. The implementation of

this study modality contributed to the development of the educational teaching process in

the subject, adapted to the dynamics of the epidemiological situation with emphasis on

the base curriculum, without losing the integral formation of the students.

Tradicionalmente la enseñanza de las Ciencias de la Salud en Cuba se ha

desarrollado de forma presencial, pero el cambio de paradigma en su enseñanza hace

que se desarrolle un proceso docente educativo centrado en el estudiante, constituyendo

la educación a distancia una de las modalidades de estudio. Se realizó una investigación

con el objetivo de describir la metodología utilizada para implementar el modelo de

educación a distancia en estudiantes que se encontraban cursando la asignatura

Medicina General Integral del quinto año, en los policlínicos de la provincia Holguín de

septiembre del 2020 a febrero del 2021.Se comenzó la implementación de esta

modalidad de estudio como alternativa para la preparación de los estudiantes en su

proceso formativo, teniendo en cuenta los componentes recursos humanos, pedagógico,

tecnológico y organizativo. Inicialmente se utilizó la plataforma Moodle como entorno

virtual del aprendizaje. Ante la presencia de la COVID-19, en enero del 2021 se

reorganizó el proceso docente educativo, se decidió cambiar para la modalidad

semipresencial y mantener la educación a distancia con las adecuaciones necesarias

para cada escenario, teniendo en cuenta la necesidad de incorporar a los estudiantes al

trabajo comunitario integrado, según las necesidades del territorio donde estos residen.

La implementación de esta modalidad de estudio contribuyó al desarrollo del proceso

docente educativo en la asignatura, adecuado a la dinámica de la situación

epidemiológica, con énfasis en el currículo base sin perder la formación integral de los

estudiantes.

About The Speaker

Doreyis Anyell Navaza Buzón

Prof. Doreyis Anyell Navaza Buzón

UCMHo Flag of Cuba

Discussion

Practical Info
Spanish / Español
February 09, 2022 10:0 AM
1 hour
MED-1
Authors
M. Sc. Priscilla Pérez San Juan
M. Sc. Beltris Barocela Arguelles
Prof. Doreyis Anyell Navaza Buzón
Keywords
distance learning
educación a distancia
entornos virtuales de aprendizaje
virtual learning environments
Documents